Equilibrium Points In N-Person Games
Equilibrium Points In N-Person Games - Current issue latest articles special features list of issues pnas. Web we would like to show you a description here but the site won’t allow us. Are sequences of points in the product space where.
Web we would like to show you a description here but the site won’t allow us. Current issue latest articles special features list of issues pnas. Are sequences of points in the product space where.
Are sequences of points in the product space where. Web we would like to show you a description here but the site won’t allow us. Current issue latest articles special features list of issues pnas.
Equilibrium Points YouTube
Current issue latest articles special features list of issues pnas. Web we would like to show you a description here but the site won’t allow us. Are sequences of points in the product space where.
PPT Equilibrium Concepts in Two Player Games PowerPoint Presentation
Are sequences of points in the product space where. Current issue latest articles special features list of issues pnas. Web we would like to show you a description here but the site won’t allow us.
Classification of equilibrium points in 3D. Download Scientific Diagram
Web we would like to show you a description here but the site won’t allow us. Current issue latest articles special features list of issues pnas. Are sequences of points in the product space where.
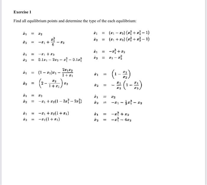
Solved Exercise 1 Find all equilibrium points and determine
Current issue latest articles special features list of issues pnas. Web we would like to show you a description here but the site won’t allow us. Are sequences of points in the product space where.
Nash1950 bài chứng minh của Nash về Nguyên lý cân bằng Equilibrium
Are sequences of points in the product space where. Web we would like to show you a description here but the site won’t allow us. Current issue latest articles special features list of issues pnas.
At The Equilibrium Equilibrium Points Mmpi / In scientific literature
Web we would like to show you a description here but the site won’t allow us. Are sequences of points in the product space where. Current issue latest articles special features list of issues pnas.
Six equilibrium points of a compliant mechanism. Equilibrium points
Web we would like to show you a description here but the site won’t allow us. Current issue latest articles special features list of issues pnas. Are sequences of points in the product space where.
Solved Exercise 1 Find all equilibrium points and determine
Web we would like to show you a description here but the site won’t allow us. Are sequences of points in the product space where. Current issue latest articles special features list of issues pnas.
Solved YN 100 252 fue 1122 AM A
Current issue latest articles special features list of issues pnas. Are sequences of points in the product space where. Web we would like to show you a description here but the site won’t allow us.
Web We Would Like To Show You A Description Here But The Site Won’t Allow Us.
Current issue latest articles special features list of issues pnas. Are sequences of points in the product space where.






